Signals and Systems
Fourier Transform
Practice questions from Fourier Transform.
11
Total0
Attempted0
Correct0
IncorrectConsider a continuous-time, real-valued signal whose Fourier transform exists.
Which one of the following statements is always TRUE?
Hence, option (a) is correct.
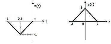
Consider two continuous time signals x(t) and y(t) as shown below
If X(f) denotes the Fourier transform of x(t), then the Fourier transform of y(t) is__________.
Marks To All
The width of y(t) is double of x(t) and hence there is a time scaling by a factor of ½.
Based on the waveforms of the signals given,
The relationship between any N-length sequence x[n] and its corresponding N-point discrete Fourier transform X[k] is defined as
Another sequence y[n] is formed as below
For the sequence x[n]={1,2,1,3}, the value of Y[0] is __________
According duality property of DFT
The Fourier transform of is
Note:
To find the Fourier transform of
1. Use the Fourier transform definition:
2. Complete the square in the exponent:
3. Substitute :
4. Use the given integral result:
5. Therefore:
So the answer is:
Which matches option (C).
In the table shown below, match the signal type with its spectral characteristics.
Signal Type
(i) Continuous, aperiodic
(ii) Continuous, periodic
(iii) Discrete, aperiodic
(iv) Discrete, periodic
Spectral Characteristics
(a) Continuous, aperiodic
(b) Continuous, periodic
(c) Discrete, aperiodic
(d) Discrete, periodic
Let an input having discrete time Fourier transform.
be passed through an LTI system. The frequency response of the LTI system is . The output of the system is
For an LTI system, output,
By taking DTFT,
Taking IDTFT;
Let be passed through an LTI system having impulse response . The output of the system is
Given is Real and Even. When sinusoidal input applied to LTI system having even impulse response, then output will also be sinusoidal.
here,
let,
(using Fourier transform property)
where,
Now;
Let and is shown in the figure below. For , the is _________. (rounded off to the nearest integer).
Given, signal
We draw as follows
Now,
Taking Fourier transform
We know,
From area property we know
Let be a white Gaussian noise with power spectral density . If is input to an LTI system with impulse response . The average power of the system output is __________ W. (Rounded off to two decimal place).
We know that,
Given: Input PSD
We know output PSD,
()
()
For a real signal, which of the following is/are valid power spectral density/densities?
(Graph always above x axis)
: even function
Hence, options (a) and (b) are valid power spectral densities.







































































































































