Control Systems
Time Response Analysis
Practice questions from Time Response Analysis.
2
Total0
Attempted0
Correct0
IncorrectConsider the standard second-order system of the form with the poles and having negative real parts. The pole locations are also shown in the figure. Now consider two such second-order systems as defined below:
System 1: and
System 2: and
Which one of the following statements is correct?
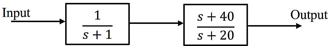
Consider the cascaded system as shown in the figure. Neglecting the faster component of the transient response, which one of the following options is a first order pole-only approximation such that the steady-state values of the unit step responses of the original and the approximated systems are same?
dominant pole put in remaining portion




























